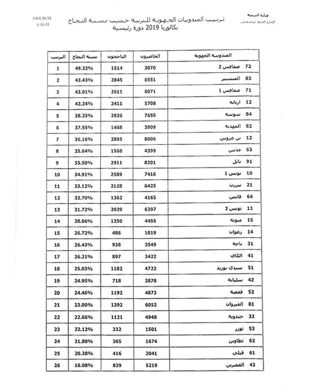
أكد المندوب الجهوي للتربية بسوسة نجيب الزبيدي أن عدد الناجحين في الدورة الرئيسية لامتحان الباكالوريا 2019 في ولاية سوسة بلغ 2926 ناجح من جملة 7650 مجتاز للامتحان اي بنسبة تقدر ب38.25بالمائة .
و أضاف المتحدث أن ولاية سوسة حلت في المرتبة الخامسة وطنيا فيما حلت ولاية المهدية في المرتبة السادسة بعدد ناجحين بلغ 1468بنسبة 37.55 بالمائة









